Posts

Showing posts from June 29, 2019

Notification 2019 - Jharkhand Minimum Wages w.e.f. 1st April 2019

Image
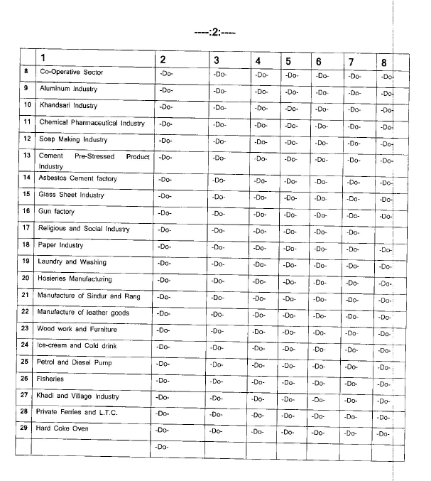
Dear All, Please find below notification regarding Jharkhand Minimum Wages w.e.f.   1st April 2019 . The notification has multiple pages, hence, produced few pages from said notification over here.  If you find this information useful then kindly re-share with your professional circle. Namo….. Regards, Girish Jayram Vivalkar IMPORTANT: Information in this blog is being provided as-is without any warranty/guarantee of any kind. This blog is intended to provide information only. If you are seeking advice on any matters relating to information on this blog, you should – where appropriate – contact us directly at girishvivalkar979@gmail.com with your specific query or seek advice from qualified professional people. We encourage you to take steps to obtain the most up-to-date information and to confirm the accuracy and reliability of any information on this blog in general by directly communicating with us. Disclaimer - IMPO...

Knowledge archive

Show more

Labels

Show more